Ένα δύσκολο τεστ IQ σαρώνει στα social media και μπερδεύει τους χρήστες του ίντερνετ. Το τεστ θέλει να τεστάρει την παρατηρητικότητά σας και την αντίληψή σας. Εσείς μπορείτε να βρείτε το αποτέλεσμα σε 28 δευτερόλεπτα;
Τα τεστ IQ με εικόνες είναι μια μορφή παιχνιδιού για τον εγκέφαλο που δοκιμάζει την κριτική σκέψη του αναγνώστη και τις ικανότητες επίλυσης προβλημάτων. Αυτές οι προκλήσεις έχουν τη δυνατότητα να ενισχύσουν τη νοημοσύνη και να βελτιώσουν τη συγκέντρωσή σας. Τα τεστ παρατηρητικότητας, τα μαθηματικά παζλ και τα τεστ IQ είναι πολύ καλοί τρόποι για να εκπαιδεύσετε το μυαλό σας και να κρατήσετε την όρασή σας στο καλύτερο δυνατό επίπεδο.
Τεστ IQ: Mπορείτε να βρείτε το αποτέλεσμα σε 28 δευτερόλεπτα;

Η λύση του τεστ IQ
Στην εικόνα έχουμε δύο εξισώσεις:
- Τρίγωνο + Τρίγωνο² = 12
- Τετράγωνο + Τετράγωνο² = 12
Αν θεωρήσουμε το Τρίγωνο = x και το Τετράγωνο = y, οι εξισώσεις γίνονται:
- x + x² = 12 → x² + x – 12 = 0 → x = 3 ή x = -4
- y + y² = 12 → y² + y – 12 = 0 → y = 3 ή y = -4
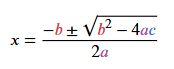
* Χρησιμοποιώντας τον τύπο:
Αφού Τρίγωνο ≠ Τετράγωνο, άρα πρέπει να πάρουμε τις διαφορετικές τιμές:
- x = 3 και y = -4 ή x = -4 και y = 3.
Στην τελική εξίσωση Τρίγωνο + Τετράγωνο = ?
- Αν x = 3 και y = -4 → 3 + (-4) = -1
- Αν x = -4 και y = 3 → -4 + 3 = -1
Άρα, ανεξάρτητα από τη σειρά, το αποτέλεσμα είναι -1.
